英国上市公司365
微信公众号
英国365集团
英国365概况
机构设置
历史沿革
岗位职责
联系我们
党建工作
招生工作
学历教育
学籍管理
教务教学
非学历教育
省级专技教育基地
职业技能工种
事企业培训
国际教育
科普大讲堂
英国365
规章制度
下载中心
英国365集团
英国365概况
机构设置
历史沿革
岗位职责
联系我们
党建工作
招生工作
学历教育
学籍管理
教务教学
非学历教育
省级专技教育基地
职业技能工种
事企业培训
国际教育
科普大讲堂
英国365
规章制度
下载中心
学历教育
学籍管理
教务教学
学历教育
当前位置:
网站首页
->
学历教育
->
正文
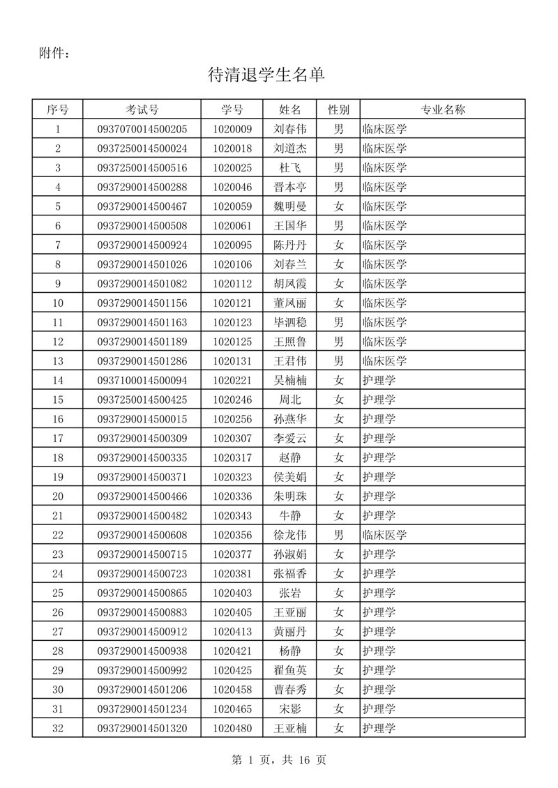
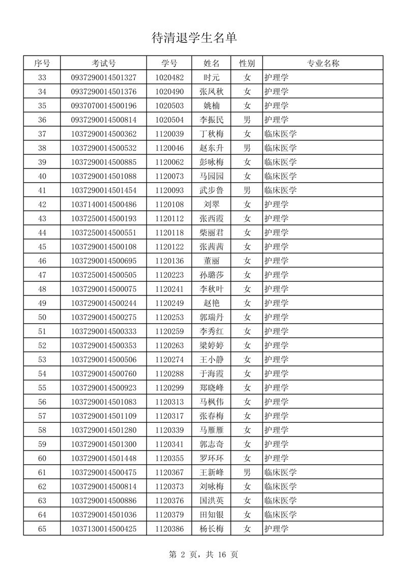
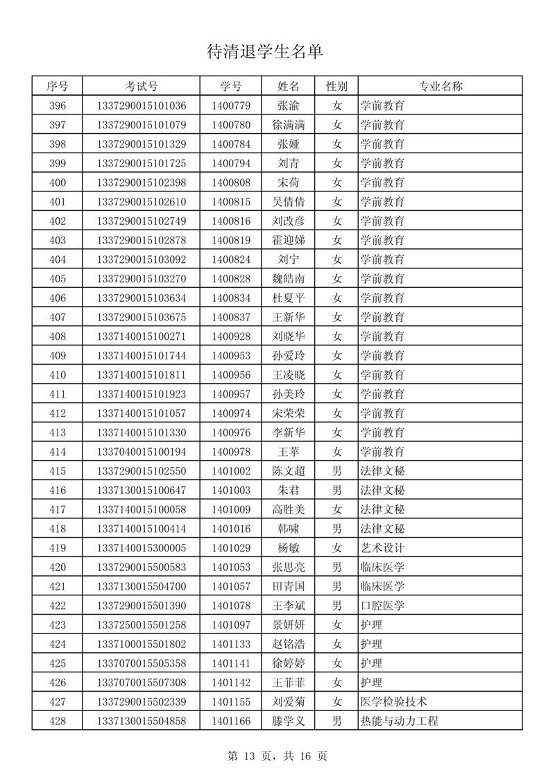
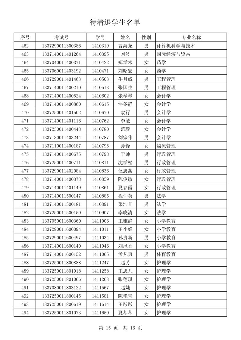
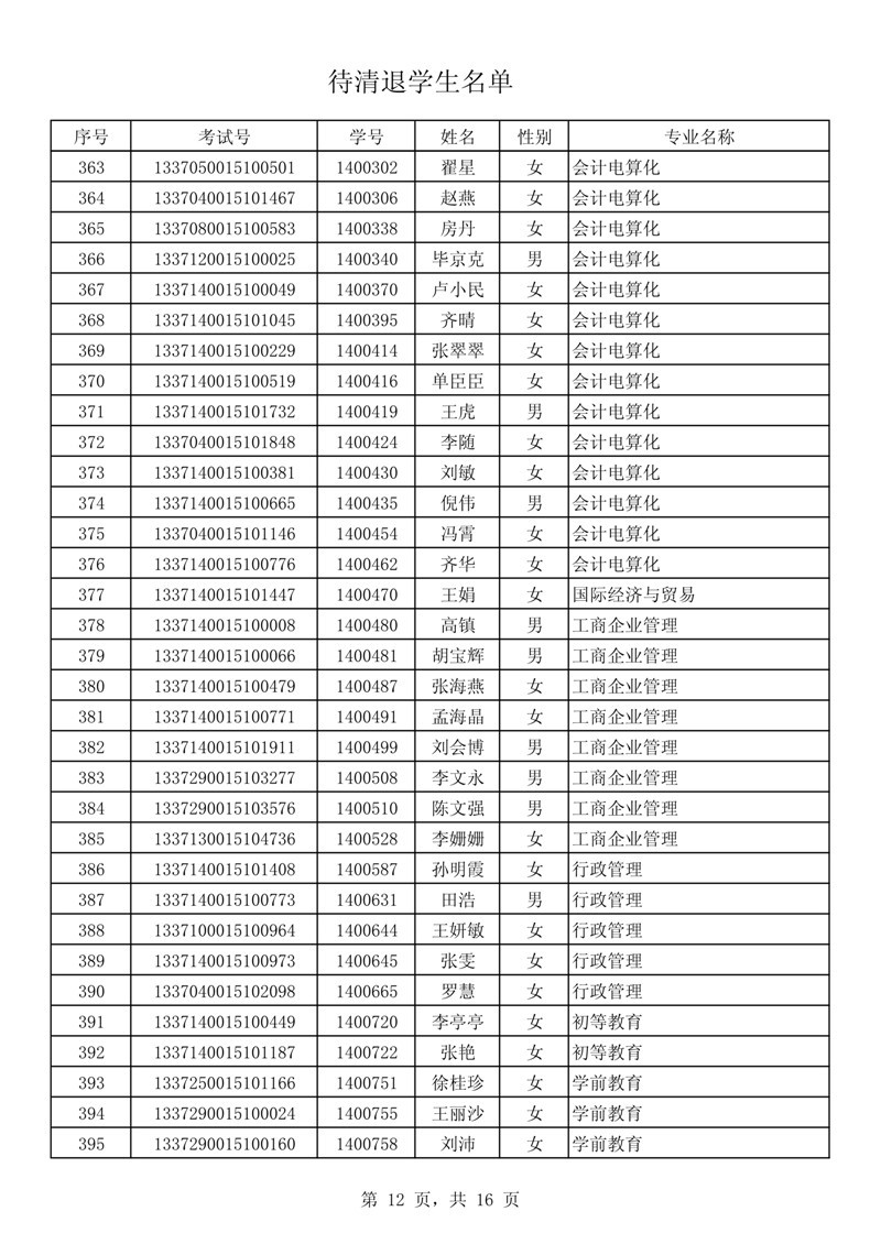
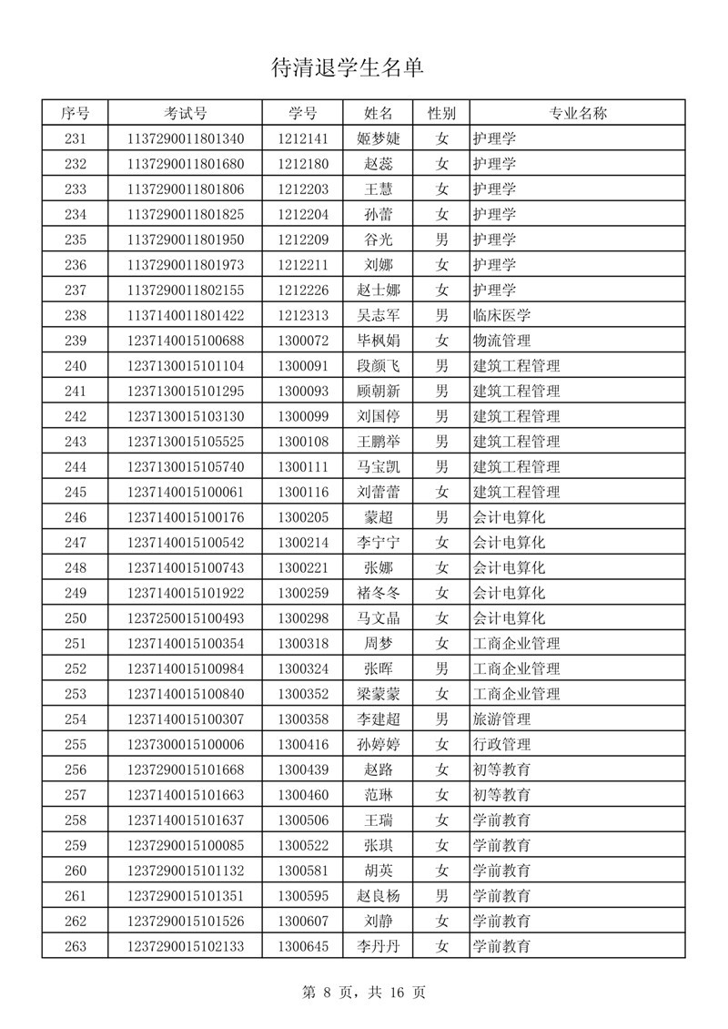
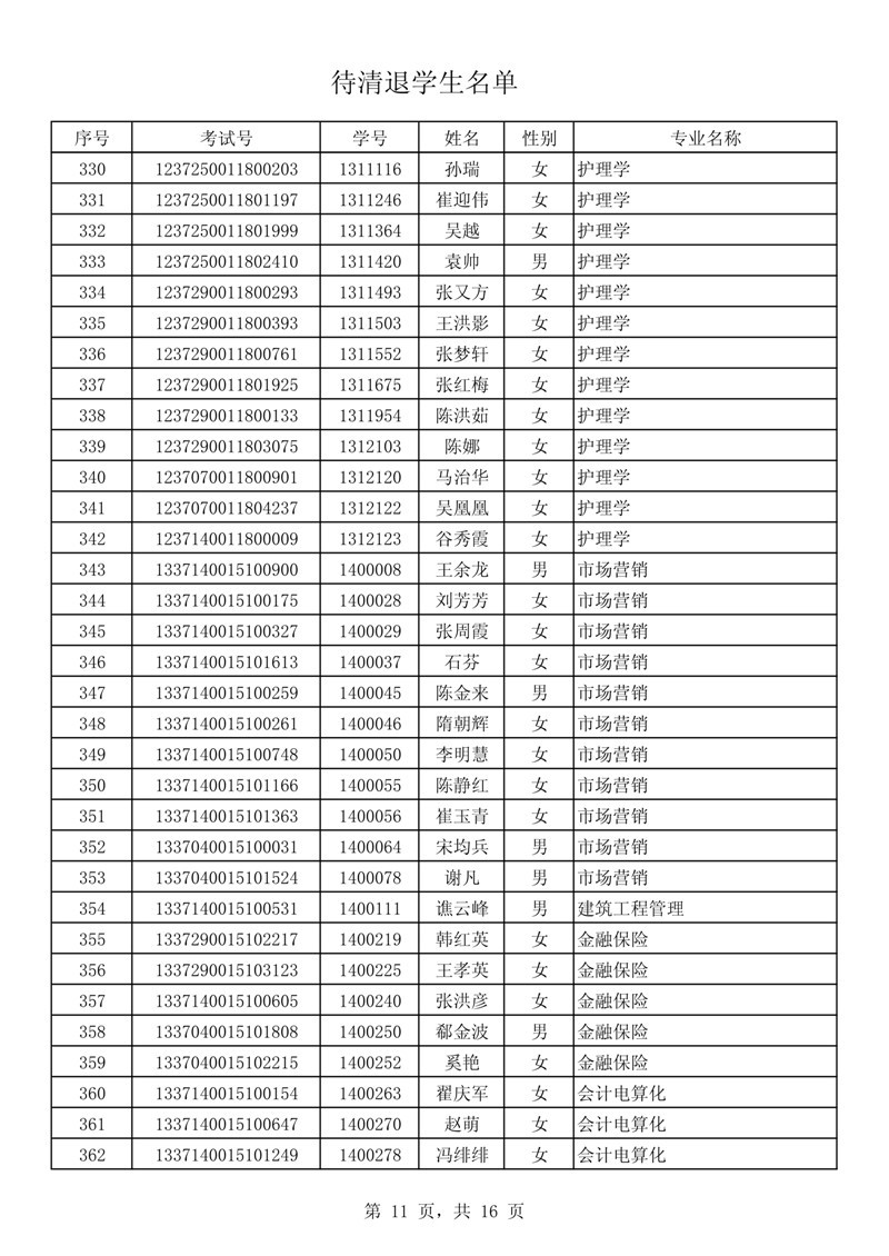
英国365集团关于清退超出最长修业年限 成人高等教育学生学籍的通知
信息来源:
发布日期:2018-09-07
上一条:
关于集中领取2018届成人本科毕业生学士学位证书的通知
下一条:
2018年暑期面授通知